recent
أخبار ساخنة

أسماء المعلمين المساعدين المقبولين تعاقد " سنتان" قبل التعيين من كل محافظات الجمهورية قرار سبتمبر 2024

 

أسماء المعلمين المساعدين المقبولين  تعاقد " سنتان" قبل التعيين من كل محافظات الجمهورية قرار سبتمبر 2024

اسماء المعلمين المساعدين تعاقد المقبولين من محافظة أسوان













اسماء المعلمين المساعدين تعاقد المقبولين من محافظة أسيوط 
















اسماء المعلمين المساعدين تعاقد المقبولين من محافظة الإسكندرية




















اسماء المعلمين المساعدين تعاقد المقبولين من محافظة الإسماعيلية










اسماء المعلمين المساعدين تعاقد المقبولين من محافظة الأقصر














اسماء المعلمين المساعدين تعاقد المقبولين من محافظة البحر الأحمر







اسماء المعلمين المساعدين تعاقد المقبولين من محافظة الجيزة
















اسماء المعلمين المساعدين تعاقد المقبولين من محافظة الشرقية

































































اسماء المعلمين المساعدين تعاقد المقبولين من محافظة الغربية
















اسماء المعلمين المساعدين تعاقد المقبولين من محافظة الفيوم























اسماء المعلمين المساعدين تعاقد المقبولين من محافظة القاهرة























اسماء المعلمين المساعدين تعاقد المقبولين من محافظة القليوبية



















اسماء المعلمين المساعدين تعاقد المقبولين من محافظة المنوفية

























اسماء المعلمين المساعدين تعاقد المقبولين من محافظة المنيا




























اسماء المعلمين المساعدين تعاقد المقبولين من محافظة الوادي الجديد



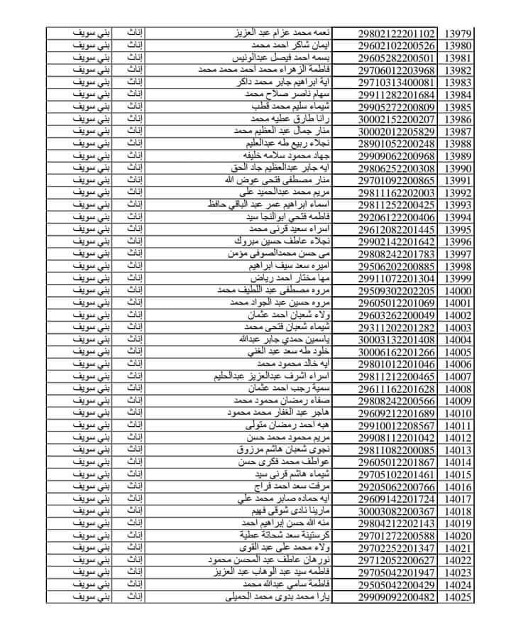
اسماء المعلمين المساعدين تعاقد المقبولين من محافظة بني سويف












































اسماء المعلمين المساعدين تعاقد المقبولين من محافظة بور سعيد


















اسماء المعلمين المساعدين تعاقد المقبولين من محافظة حنوب سيناء 




اسماء المعلمين المساعدين تعاقد المقبولين من محافظة الدقهلية





















اسماء المعلمين المساعدين تعاقد المقبولين من محافظة دمياط





اسماء المعلمين المساعدين تعاقد المقبولين من محافظة  سوهاج


















اسماء المعلمين المساعدين تعاقد المقبولين من محافظة

قنا











 

اسماء المعلمين المساعدين تعاقد المقبولين من محافظة مطروح







اسماء المعلمين المساعدين تعاقد المقبولين من محافظة كفر الشيخ



























google-playkhamsatmostaqltradent